China’s Maoist Foundations
by Gwydion M William
The Significance of China
For the People’s Republic of China to have existed as a flourishing state and society since 1949 is intolerable for the New Right. Just by existing, it counts as a threat to US hegemony. Even though it has done little to actively oppose US foreign policy since Mao and Nixon made peace, it is seen as menacing.
The first problem from a US or New Right view is due to China being so big. It is on the verge of overtaking the US as the world’s biggest economy, and will be very much bigger when ordinary Chinese move from their current middle-income status to something closer to the individual living standards of the developed word. Even though China has shown no interest in going beyond the borders that virtually all Chinese would understand as defining ‘Zhongguo’, its very existence gets in the way of the informal hegemony that the USA has sought since 1945 and very nearly achieved after the fall of the Soviet Union.
The other problem, at least for the New Right elements who currently dominate thinking in the USA and Britain, is that China has done this in flat defiance of everything that the New Right insists on as a necessity for economic progress. The things they have intimidated the centre and left into accepting as bitter necessities.
The raw facts are that China in the Mao Era made enormous economic progress by copying the massive central planning and collectivisation of the Soviet Union under Stalin. Plus some innovations by Mao, mostly dismissed as errors, though in a future article I will argue that this is not so clear. Deng and his successors refused to junk this system in the way that happened in Russia under Yeltsin. They have kept rigorous controls on finance, a huge state sector and a pattern of being much more interventionist than the US New Deal or the Mixed Economy system of Japan and most of Western Europe.
What the New Right try to do is amend the past. The inconvenient fact that Stalin’s system worked is simply ignored: much easier to talk about the undoubted disintegration from the 1970s. While Mao’s China is presented an nothing more than a series of disasters, redeemed only when Deng let the system be rescued by capitalism. Such a history would fit the New Right vision, but it isn’t true at all. Whatever else they think about Mao, socialists and even centrists should expose this New Right nonsense. Mao turned a fragmented society full of small production and pre-capitalist attitudes into a society that has since been able to absorb whatever it wishes from the West.
Exposing the New Right’s false history should be kept separate from the question of whether Maoist harshness was necessary. Other societies managed the same transition by alternative methods, certainly. Japan and Thailand managed a home-grown modernisation. The Japanese Empire imposed something similar on Korea and Taiwan, though their methods were harsh. The British Empire created Burma, Malaysia, Singapore and Hong Kong. The Dutch Empire created Indonesia. France made a total mess of Vietnam, which opted for Communism instead.
I’ve come across a few Chinese who think it was a pity Britain didn’t wholly take over China as they did India. I don’t agree, but anyway it was not a realistic option. The British Empire was over-extended if it was to remain in the hands of the British-based elites that had run it from the start, and these elites were flatly unwilling to bring in significant numbers of outsiders. I’m not aware of any Chinese who think it would have been excellent for China to have been taken over by Japan, which was vastly more likely. But excluding those options, what else might have happened?
Changing China
The Opium Wars of the 1840s and 1850s ensured that China could not live as it had lived. It was required to modernise and to take in at least some aspects of the West’s values. But there was no one within that ancient culture who could do this successfully.
No one before the Chinese Communists.
Many visitors in the first half of the 20th century found that alien attitudes lurked behind the superficial westernisation of Chinese in the coastal cities. And those who encountered the Chinese Communists in their days as a small rebel movement were very surprised to find that here were a group of Chinese who were much less alien. Edgar Snow, whose own preference was for Moderate Socialism, was the most notable of these. But it was actually the norm for those Westerners who came without any stake in exploiting China and who got to see both the Chinese Communists and their rivals close up.
Westerners who saw the Kuomintang during their days as rulers of Mainland China almost always ended up despising them and seeing them as hopeless. They never actually unified China, though they did get the various warlords and other local rulers to show them the outward signs of being part of a single Chinese Republic.
The Late-Imperial Era and the Republican Era saw many superficial imitations of Western ways, but no real transformation. The Mao Era saw a massive and painful transformation, with Mao’s version of Marxism hammered into a population of hundreds of millions. They emerged well able to assimilate as many additional Western values as they felt a need for.
Contrary to the standard story, China since Mao has in no sense “restored capitalism”. If Deng and others ‘followed the capitalist road’, they followed it only as far as an Asian version of the Mixed Economy system which the West had created in the 1940s. (And which broadly survived the nominal restoration of capitalism under Thatcher and Reagan.)
Post-Mao China is just what it says it is – Socialism with Chinese Characteristics. It has retained public ownership of all agricultural land, has kept its currency largely unconvertible, retains a vast state sector and keeps the larger private enterprises under strong political control. And it was able to make these changes because it already had firm foundations.
If the Chinese economy was doing badly, all this would be denounced as socialism and a cause of failure. Much milder things do get denounced as socialism in the USA. But because China has consistently had the fastest growth of any large economy, this mixed system gets called capitalism.
The Mao Era was undoubtedly tough for the relatively privileged Westernised middle class of the big cities, the individuals best able to communicate with Westerners. But this Westernised stratum had been trying and failing since 1911 to form a coherent modernising government. Chiang Kai-shek (Jiang Jieshi) was the best leader they managed to produce, and he was mediocre. A reformer who reformed nothing. A ‘nationalist’ who had to be held at gunpoint before he was willing to fight his first and only war against a foreign foe. He was disgracefully slow to organise defensive measures against the invading Japanese, who had already grabbed huge chunks of China before there was a proper War of Resistance.
Chiang Kai-shek was also weakest when a genuine moderniser would have been strongest: in the immediate aftermath of World War Two. The USA did successfully incorporate a number of foreign countries as allies. It helped modernise them by use of US-funded regimes led by right-wing autocrats. But China was something else entirely: China had a social and cultural system that claimed 4000 or 5000 years of history and wasn’t used to taking in new ideas. And had a vast class of small landlords who strove to achieve elegant idleness as exploiters of the people who actually worked the land.
The current consensus in Europe and the USA is that once you have a big Middle Class, all is well. China had a big Middle Class in the first half of the 20th century, or rather it had a cluster of loosely linked Middle Classes. But though those people occupied much the same economic territory as Europe’s Middle Classes during the Industrial Revolution, their view of the world was a jumble of China’s ancient traditional values and some futile admiration for the West. They wanted to change China, but found the task beyond them.
Jung Chang (author of Wild Swans and co-author of Mao: The Unknown Story) comes from the higher levels of this failed social stratum: she is the grand-daughter of a warlord. Like most members of fallen elites anywhere in the world, she has an extremely bitter view of those who replaced her kind. Entirely blind to the fact that they failed when they had a chance to remould China.
What’s odd is that the West takes characters like Jung Chang so seriously. The establishment seem to think that people with a legacy of decades of failure and weakness will now deliver them a repentant China ready to be remoulded to Western values. This is about as likely as an egg being laid in Tchaikovsky’s Swan Lake.
The consensus that ‘once you have a big Middle Class all will be well’ comes from the same geniuses who trashed Saddam’s Iraq and have since found that there was no stable replacement. The people who made exactly the same mistake in first Libya and then Syria. The people who made bitter enemies of the vast majority of Russians after Western advice made the Russians poorer and much less secure. The same bright sparks who think it a good idea to hammer China about Tibet, which ordinary Chinese have the same proprietary feelings towards as Hindus have to Kashmir and Sikkim and Goa. (An issue largely ignored by Westerners, along with many other regions that in an ideal world might be given the chance of independence.)
You also get the Mao Era presented as a time of stagnation before Deng’s opening up. This is not at all what was said at the time. Outside of the USA, China under Mao was widely recognised as an emerging Superpower. And Nixon doing a deal in the early 1970s was clear recognition that this was the case.
The Mao Era saw an immense advance for ordinary people. Nearly four decades of semi-Westernised stagnation and disunity after the 1911/12 Revolution ended, the economy tripled during Mao’s quarter-century. The population also doubled, so there was not an enormous advance in individual consumption. China’s various Middle Classes possibly lost ground, since they were no longer as privileged as they had been relative to other Chinese. But China between 1912 and 1949 had simply failed to make any progress: it had stagnated while being opened up to the world economy. Worse, it had fallen apart politically. Chiang Kai-shek after 1927 was nominally recognised as ruler of most of what was officially China. Even Lhasa sort-of accepted his authority in 1940, when the current Dalai Lama was enthroned with representatives of the Central Government present and favouring him over rival claimants to be the reincarnated Dalai Lama. But Chiang’s real power in the core areas of China was limited. The Kuomintang was largely a movement of South China, too weak to risk basing itself in Beijing.
Beijing had been China’s main capital since 1272, with a short interlude in Nanjing under the first two Ming emperors, and then Nanjing again under Chiang Kai-shek. If you could not control Beijing, you were not in charge of China.
By not trying to rule from Beijing, Chiang Kai-shek was admitting that he was not a real national leader. He wasn’t even able to control all of South China at any one time. He managed to dominate the Yangtze Valley but lost control of the Far South, the original Kuomintang base.
China from the Opium Wars down to the foundation of the People’s Republic remained overawed by foreigners. The foreigners mostly felt that this awe was a necessary precondition for Chinese modernisation: there were a few honourable exceptions, but most felt that for Chinese to be awed by Westerners was the only way the Chinese might improve themselves.
It’s an interesting fact that nowhere in the world has a nation successfully modernised itself without strongly asserting its own identity, often in violent and extreme ways.
When China under Mao asserted itself against foreign values, it was doing much the same as many other emerging nations found it necessary to do. (Something even the USA chose to do, asserting its own values against those inherited from 18th century Britain.)
People nowadays seem to think that China was stagnating under Mao and only started growing when Deng took over. Or maybe they accept there were big improvements up to 1966 but that everything fell apart during what are now called the ‘Cultural Revolution’ years. Interestingly, this impression has been created without any of the West’s China experts explicitly stating that it was so. Graphs for growth normally begin in the late 1970s and there is a deafening silence about what was happening before that.
People’s China was from the start one of the fastest-growing economies in the world, and continued to be so in Mao’s last decade.[A] It consistently did better than India, the most directly comparably country. This is too solidly documented to be denied, but it is also an off-message fact. So the Western experts show a remarkable unanimity in not mentioning it.
Year-by-year growth during the Mao era show a serious setback after the Great Leap Forward (which I’ll discuss in a future article). It also shows a small blip at the start of the Cultural Revolution, but the economy recovered and continued to grow fast. There is no obvious reason why the Cultural Revolution system could not have been continued indefinitely, perhaps resulting in a China that was less wealthy but much happier, more honest and more equal.
Westerners might also reflect that a China which had continued with Mao’s system as it existed in the mid-1970s would have been a China would have been largely self-sufficient. A lot more manufacturing jobs might have stayed in Europe and the USA. Or gone to African or other poor countries.
Deng retreated from Mao’s more radical policies. But what he retreated to was an authoritarian version of Moderate Socialism, still well to the left of the Keynesianism / Social Capitalism that had flourished in the West from the late 1940s to the mid-1970s. (And still survives intact under a façade of privatisation and free-market ideology.)
In China after the crisis of 1989, a majority of those who thought about politics preferred to hang on to what they’d got. They saw the massive economic decline of Russia in the 1990s and its humiliating loss of global status. This vindicated Deng’s ruthless actions in the eyes of many Chinese who had been protestors or waverers in 1989.
The other main criticism you hear is that Mao was responsible for millions of deaths. It is of course true that millions of Chinese died while he was in charge: but it is equally true that millions of Britons died while Thatcher was Prime Minister. There is of course no clear basis for saying more millions died in Britain than if Thatcher had never been Prime Minister. And it’s the same with Mao’s China, except that Mao improved China’s overall heath ahead of the expected gains from increasing social wealth.
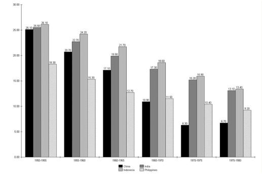
China in the early years of the Mao Era was extremely poor and had a high death-rate – but China before Mao had been a great deal worse. Despite the Three Bad Years (1959-61), Mao’s period of power saw a marked rise in life expectancy among ordinary Chinese. Measured in terms of ‘deaths per thousand per year’, the whole of Asia made progress but People’s China overtook comparable countries like the Philippines, Indonesia and the Republic of India. The lack of major foreign aid seemed to do no harm: it might even have helped.[B]
Claims for tens of millions of deaths ‘caused by Mao’ are based on a statistical trick. The worst of the ‘Three Bad Years’ saw a death rate of maybe 25 per thousand, which was an entirely normal death-rate in poor Asian countries in the 1950s. In a population of 600 million, that would be 15 million per year, while getting the rate down to 10 per thousand would be 9 million lives saved per year. China by a series of radical changes did get the death rate that low, and lower. But if you ignore the success in getting the rate down way below the poor-country norm and just measure the difference between twenty-three years of dramatic progress and three years of setback, you can give the appearance of mass murder.
Mainstream Western opinion has been hostile to Mao and Chinese Communism ever since most Westerners with a knowledge of China were thrown out of China in 1949. But just complaining ‘they threw us out’ would have won them little sympathy in the wider world. Even most Britons would have said ‘their country, their own business how they run it’. Evidence had to be found that something appalling having happened in China after China stopped letting Westerners dominate it. Plenty of complaints were made, mostly selecting negatives and ignoring the much more numerous positives. Some of the complaints were nonsense – but as one claim is shown to be seriously wrong, it gets quietly dropped and something else hyped.
The original claims of mass murder related to land reform. In 1955 the USA’s Time magazine – one of the world’s best-known and respected journals – was reporting horrific details:
Since October 1949… at least 20 million Chinese have been deprived of existence, done away with, or otherwise disposed of.[C]
In Chang and Halliday’s Mao, the Unknown Story, the number of deaths during Land Reform has shrunk to three million,[D] including some suicides. Even this shrunken estimate is doubtful: later visitors found plenty of ex-landlords still around and marginalised in New China.
Neither Time magazine nor Chang & Halliday take the slightest notice of Beijing’s official position: that except where popular enthusiasm ran out of control, no landlord was executed unless they were guilty of either murder or of deaths arising from collaboration with the Japanese invaders. There have been a vast swarm of Western books about China’s post-1949 history, but most of them speak with the same voice about the matter, completely ignoring the official government explanation for what was done to the landlords. Rather suggesting that it was true, though it would be a good topic for some fair-minded Westerner to do a documentary on while there are still living witnesses.
China under Mao was a big success. In the early 1950s, with the Republic of India independent with a Moderate Socialist government and China newly reunited under the Chinese Communists, people wondered which of the Asian giants would do better. The answer has been that China continuously did much better by every measure of ordinary human welfare, and continues to do so. Either Asian giant might suffer a political collapse or fragmentation, but my view is that India is much more at risk.
Normal Politics, Not Nice Politics
I live in Britain, currently one of the nicer places to live. It wasn’t made by niceness. There were always some noble aspirations, but also a vast mass racist feelings and greedy aspirations, along with a lot of dirty politics. The topic would be worth an entire book, maybe Not Angels, Just Anglo-Saxons. Definitely, foreigners who want to copy aspects of Britishness need to know what it was really like, rather than what patriotic praise-singers would make of it.
Keeping an existing system in being is tricky. Strengthening and expanding it is much harder. Britain’s Industrial Revolution was stressful and might have faded out, in the same way as the 15th century Italian Renaissance bogged down and faded into mediocrity.
Britain also had to fight for world dominance, and the consequences of the rival powers of Spain or Holland or France succeeding are hard to guess. But Britain’s murky past has positives as well as negatives. It needs to be recognised that there was always a lot of idealism and solid achievement attached to the brutality and greed of imperialism.
Global politics were never going to be made by niceness, and the mostly-English ambitions expressed in the British Empire did always include some notion of making a better world for everyone. But it would be good to remind those Britons who lecture foreign nations about human rights that we were still trading slaves at the dawn of the 19th century, that we used opium to bust open China from the 1830s and that we did a lot to cause the miseries of the Great War and its aftermath by refusing a compromise peace when Germany offered it in 1915 and 1916. And that current Anglo domination of the world owes a lot to the fact that we practiced ‘ethnic cleansing’ on most of the lands suitable for European settlements. The global Anglosphere was created by pushing aside the inconvenient native populations of North America, Australia and New Zealand, with the original intention being to wipe them out completely.
The bedrock of Britishness is the English, who culturally and to some extent biologically derive from a 5th century invasion of Britain from what is now North Germany and Southern Denmark. The invaders – Saxons and Angles and Jutes – were unified after three or four centuries by the kingdom of Wessex, which was tough enough to take on and eventually break and absorb the invading Norsemen (Vikings).
The new English kingdom then weakened itself with squabbles within the ruling dynasty and was briefly absorbed into a Danish empire built by those same Norsemen under a more modern and coherent government. England remained hopelessly split under its last Saxon kings: the father of Harold Godwinson was responsible for the blinding and death of the elder brother of King Edward the Confessor. Edward tried several times to rule without Harold Godwinson, and failed to do so. But he was understandable unwilling to let Harold be his heir.
Edward the Confessor’s wish seems to have been to leave the kingdom to William of Normandy, who however was related to him only by marriage and was not descended from the dynasty of Wessex. Nor was Harold Godwinson, but he was strong enough to get chosen by the Witan, a kind of High Council that pooled the wishes of the elite. Harold’s claim was dubious, but he had the power. Papal disapproval and support for William’s claim counted for something, but not many English cared. What was decisive was William defeating and killing Harold Godwinson at the Battle of Hastings, along with all of Harold’s surviving brothers.
William of Normandy was actually quite lucky to win. Harold had assembled a much bigger army, but contrary winds stopped William from sailing and in the autumn Harold had to release most of his army to do the harvesting. Then having waited for months to face William of Normandy, Harold was forced to moved hastily into battle after rushing up north and beating a Viking army at the Battle of Stamford Bridge. (An army persuaded to invade England by Harold’s younger brother Tostig, who was killed there.) Harold had reasons for haste in returning: the other major English power was the combined forces of the young earls Edwin and Morcar, but it was anybody’s guess which side they’d have fought on had Harold waited. Both worked for a time with the new Norman kings, but like most of the native English aristocrats they were in time destroyed.
With the Normans ruling England, things got much worse for the common people, though the state as a military-political entity may have grown stronger. England before the conquest had had slaves as the lowest class in a society, but it was built around a majority of free peasants. The Norman lords reduced most of the population to a kind of agricultural slavery known as serfdom. It was a formidable system for power-politics, and its monarchs were able to use it as a base in many foreign wars, primarily for repeated attempts to conquer the much larger and richer kingdom of France. This failed because of a dawning sense of French identity, which included the remarkable career of a teenage visionary called Joan of Arc, burnt at the stake as part of the failed politics of England’s aristocratic lords.
Having failed to conquer France, England moved beyond serfdom. The ‘Wars of the Roses’ were maybe a rebound from the failed French wars, with lords fighting each other in the absence of a foreign foe. These wars had the positive result of killing off most of the old aristocracy in a long series of confusing bouts of battle and beheading. I think Marx writes somewhere about this being a major cause of England’s rise, with the old aristocracy vanishing and being replaced by relatives who had a more commercial and modern attitude. Sadly, this and other fascinating remarks by Marx did not get incorporated into the standard understanding of Marxism. This standard visions I’d rate as weak and self-indulgent when it comes to understanding power, the state and revolution.
England was hammered into something like a modern state by the authoritarian rule of the Tudor and Stewart monarchs, along with a period of dictatorship by Oliver Cromwell as a parliamentarian turned warlord. Yet Cromwell applied much the same principles as previous kings, and many of his reforms were retained. Even the custom of British troops wearing scarlet has its origin in Cromwell’s New Model Army.
It was a long and violent process to make Britain into a state where the Industrial Revolution could occur. The Tudor dynasty began in 1485, after the defeat and death of Richard the 3rd, who had pushed aside his nephews and is believed (though a minority dispute this) to have murdered those ‘Princes in the Tower’. Each Tudor and Stewart monarch faced plots and rebellions, made worse when Henry 8th broke with Rome. His daughter Mary reversed this and then her half-sister Elizabeth reversed the reversal. The Stewarts faced worse, several successive civil wars involving English, Scots and Irish as independent power-factions, though it gets called the English Civil War. Various armed factions ruled for a time and then fell. Cromwell established rule by the Puritans, hard-line Protestants. James 2nd came close to another restoration of Catholicism. All of this was fought out with bitter factionalism and considerable violence.
It was only in 1688 that there was an acceptance of something like a stable two-party system among the gentry. And it remained uncertain for decades whether this peace would hold. The last major revolt was the Highland Scots in 1745, after which their tribal or clan culture was uprooted and substantially destroyed.
(It was revived in superficial form in the early 19th century, and continues as a set of symbols used by the Scots to make it clear that they are not English. A lot of it is synthetic: there is a complex system of ‘Clan Tartans’, for instance, but it seems likely that the original clansmen wore mixed tartans with no symbolic meanings.)
It took from 1485 to 1688 to hammer out a stable political order for Britain. A system in which Moderate Protestantism (Anglicanism) was dominant and which could have a government and opposition alternating in power with only the occasional Civil War. And then it took nearly two centuries more to get to something like parliamentary democracy. There was both bribery and intimidation of voters until the Secret Ballot was introduced in 1872. Only after the Third Reform Act of 1884 did a majority of adult males living in the British Isles get the vote. Even then it was only 60%, with full adult male suffrage being introduced only in 1918, along with votes for women over 30.
Votes for women were not won easily: militant women called Suffragettes fought a long campaign of harassment to get it. One notable incident was the death of Emily Davison, who stepped in front of a horse belonging to King George V at the Epsom Derby in 1913. The horse also died, of course: we English are not always animal-lovers. It was part of a general campaign of intolerable behaviour by a small number of mostly upper-class British women that eventually won something like a recognition of women as fellow humans.
The 1870s also saw the rise of Irish Nationalists as a force in the semi-democratic parliament. Even most Britons would agree that Britain’s management of Ireland was bad, which is why I’m not going into it in detail, looking at the system as a whole rather than its admitted failures. But it mostly gets overlooked that British democracy and modern Irish separatism began together.
To record all this is not being anti-British. Britain made global politics as it now exists, though it needed the United States as a British offshoot to finish the job. US economic dominance was vital to confirm English as the global medium and the language that serves as a hub between almost all of the world’s cultures. The most likely alternatives for globalised power-politics – Spain or France or possibly the Dutch or the Russians – had most of the same faults and arguable less of Britain’s virtues. Several of the smaller European nations did much less harm, but also not much good outside their own borders.
Within Europe, you might think of Switzerland or Sweden as examples of virtue. But look into their history in detail and you’ll be surprised by what you learn. Sweden’s late entry into Germany’s Thirty Years War added to its miseries and helped abort Germany’s development as a normal European kingdom. Switzerland exported mercenaries, often for very bad causes. It also had a vicious but thankfully brief civil war in 1847, forcibly preventing several of the more traditionally-minded cantons from seceding from the Swiss Federation. A right to self-determination wasn’t an established principle then, and it still is not when it comes to the actual functioning of International Law. Sweden came close to a Civil War of its own when Norway demanded independence: the fact that Norway had only been linked to Sweden since 1814 may have helped them accept it separating again in 1905.
Britain – with England as its dominant element – created the modern world. Other countries had their own version of Globalisation: Spain and Portugal were the first European powers to send their ships all round the world. The first countries to be in touch simultaneously with America, Europe, Africa, South Asia and East Asia. Later on, France offered an alternative line of development in both India and North America, which could have ended up under French dominance rather than English. You could plausibly argue that one or other of them or even the Kaiser’s Germany might have built a better world order had they won various key wars. But that’s irrelevant here: we are talking about how far China could or should conform to Anglo standards. And I am pointing out that China is being asked to do what our pundits tell them to do, not to do something equivalent to what we actually did.
I’m also aware that in this brief account of history, I’m going flatly against the standard Marxist view of the state. Intentionally: that view is crude and exaggerated and hampers anyone who tries to conduct politics while taking that view literally. It is of course true that a state machine will normally serve the ruling class, that being the reality of power except after a left-wing revolution. But it does not become redundant when that ruling class is removed, which was the initial Leninist hope, soon found impractical.
For as long as people live in a complex society and have minds of their own, some mechanism will be needed to draw up rules for allowed and forbidden interactions. Some standard is needed for people with minds of their own to be able to coexist.
Engels’s The Origins of the Family, Private Property and the State I view as insightful on Family and Private Property, but massively wrong on the State. Interestingly, his actual historic examples show the state defending the long-term interests of society from the particular interests of the rich. Often the state has an essential role balancing class interests, with inequalities accepted but sometimes curbed.
To get back to China, judgements of Mao’s China tend to be based on some sort of idealised history rather than what actually happened elsewhere in the world. The United States separated from the British Empire after Britain had won North America from the French with very little colonial involvement. Plenty of British Americans fought on the British side in the American War of Independence, and several of the thirteen seceding states might have preferred to stay ruled by George 3rd if there had been a referendum. Most American Loyalists moved north and created British Canada, which has never had the least wish to be part of the USA.
The famous US Constitution of 1789 was established by a several acts of shysterism, and would probably have been rejected if submitted to a popular vote. None of it happened the way the standard Western accounts claim it happened.
The new United States of America was an example of popular government, but not definitely a democracy until the 1830s. Definitely not an upholder of universal human rights or peace during the remainder of the 19th century. The 1860s saw four-fifths of the nation beat the remaining one-fifth into sullen submission after a vicious 4-year civil war. The US South remains sullen and resentful down to the present day. It has even expanded its influence since the 1970s, perhaps because it has had decades of working out how to deal with failure and how to feel virtuous about a war for a bad cause. The dominant Northern or Yankee element saw their own history as a string of unbroken and well-deserved successes until their frustrating failure in Korea and then their unexpected defeat and humiliation in the Vietnam War.
The American Civil War sometimes gets presented as a war for a noble cause, or even of two rival noble causes in tragic disagreement. Actually it was a ‘war of two racisms’: the North objected to slavery but was no less keen to uphold White Supremacy. Part of their objection to slavery was that it introduced blacks into territories that the North wanted to keep all-white. Before the Civil War, almost all of the North disqualified blacks from voting and they were widely regarded as not being citizens even when they were not slaves. The Oregon Territory in the north-west forbade slavery, but also banned free blacks from settling there.
In the 1830s, Alexis de Tocqueville in Democracy in America had noticed that blacks were mostly intimidated out of voting in those Northern states where they had the legal right to vote. This same system was introduced in the South to keep down the freed slaves once the South gave up its dream of separatism. Segregation and a stable racist order lasted till the 1960s. It might have lasted longer if the USA had not been keen to please Black Africa during the uncertainties of the early and middle years of the Cold War.
Comparing China’s rapid modernisation to the actual history of Britain, the USA etc., I’d say that Mao did rather well. He was no more forceful or intolerant or disruptive than any leader would have had to have been to get the same results.
Liberators are mostly harsh people: it goes with the job. It’s fair enough to feel sorry for those who suffered because of that harshness. But not then to engage in wishful thinking and suppose that the result could somehow magically have been achieved without the harshness. If someone argues that the harshness exceeds the benefits, that’s a viewpoint one can deal with and might sometimes even agree with. But evading the trade-off makes for unrealistic politics and politics that is highly likely to fail. And failure has indeed been the fate of a once-flourishing Marxist movement that tied itself into logical knots by supposing that there was some enormous difference between what Lenin started and what Stalin carried through. No such distinction was ever made in People’s China: nor is it made today, as far as I know. Elsewhere, the big successes have been forms of radicalism that frankly rejected both Lenin and Stalin together. (But they generally lack the effectiveness that Leninism at its best displayed.)
It is easy enough to wish for change: to actually flourish in politics needs various sorts of compromise and the radical intention is the easiest thing to lose. To flourish in politics and also carry through reforms where many others have failed requires great political gifts. My assessment is that Mao was indeed highly gifted and achieved a great deal against very great difficulties.
Not that I am any sort of unreconstructed Maoist: I also approve of Deng Xiaoping, including his willingness to be harsh when necessary. Both Mao and Deng played a big part in producing today’s China, but in a future article I will argue that it was Deng who came closest to wrecking it. Contrary to what most analysts will tell you, Mao always had a fall-back position that he could return to if one of his radical experiments went wrong.
I call Mao’s rule normal because it was. Forget the teaching of Western ‘experts’ who have failed miserably to reconstruct Iraq or Afghanistan, have trashed secular rule in Libya and Egypt and are currently intent on trashing Syria. In actual history, the making of a more complex society or the recreation of a broken political order almost always involves a period of authoritarian rule and a self-imposed uniformity by the population. I can’t think of a single exception from any known society.
(The USA and other offshoots of Britain don’t count, they emerged from a completed process that had happened in Britain before most of the settlements in North America. The colonists arrived with a set of social habits that had been hammered into the population over centuries and which they had come to accept as part of their own identity.)
Mao went beyond ‘normal politics’ in his final 10 years, making an attempt to move society in a completely new direction. The Cultural Revolution seriously addressed the problems of the various Corporatist systems that had developed after World War Two, even though it failed to solve them. It occurred in parallel with rebelliousness among young Westerners: rebelliousness that reached its height in France 1968, when the state was very nearly overthrown and something radically new almost emerged. It also overlapped with the Prague Spring, an excellent attempt to regenerate European Leninism which was unfortunately crushed by naked force, with Brezhnev’s armies overrunning hopeful politics. The Soviet system that crashed in 1989-91 was a system weakened by years of stagnation and loss of confidence caused by Brezhnev’s refusal in the late 1960s to accept necessary changes in a fast-changing world.
In China things were different, yet not utterly different. Mao alone of the rulers in power at the start of the 1960s managed to harness the ‘Youth Rebellion’ and emerge with much greater authority than before. He created a narrow-minded but entirely viable system that might have lasted indefinitely and continue to grow vigorously. It was a matter of power-politics that his system was rejected by China’s state-party system when Mao’s personal authority ended with his death.
Burn Down the Headquarters?
The Tiananmen Protests occurred a little before the collapse of East Germany and the other European states dependent on the Soviet Union. The magnitude of the protests showed that Deng had been playing games with forces he did not fully understand. As it happened, the ‘experts’ of the New Right understood those forces a great deal less than Deng did. A generous attitude to Russia after 1991 might have secured an Anglosphere hegemony for a generation or three. A contented Russia helped generously by the West might have allowed a substantial opposition to develop in China. But in actual history, Russia was humiliated after it dissolved the Soviet Union. Russia accepted Western advice and then saw its economy shrink and its death-rate rise. Russia became a massive failure of Western influence.
Western-style free multi-party elections over a number of years saw Russia’s liberal politicians vanish into well-deserved oblivion as their incapability was revealed. It also saw a lot of Chinese conclude that they had had a narrow escape in 1989 and that Deng had been vindicated by history.
While the West aspires to subvert People’s China, the majority of politicians, writers and journalists go about it with a self-confident ignorance that gets worse and more hard-line as their favourite methods fail to work. Supporting Tibetan separatism offends almost all Chinese, including committed anti-Communists. It has also never been explained how anyone can support Tibet’s claims, yet ignore or reject the claims of Kashmiri Muslims, Sri Lankan Tamils, South Ossetians, Chechens, Kurds, the people of West Irian and dozens of other groups that have at least as good a claim to separation from the state that has legal authority over them.
In the West, it was somehow decided that you were ‘on-message’ if you made a big fuss about Tibet during China’s Olympic Year of 2008. It must have been supposed that the silly Chinese would quail in the face of such an assembly of brilliant Western opinion. When this failed to happen, it became ‘off-message’ to notice or remember this failure.
It had for several years been ‘off-message’ to remember that Tiananmen 1989 was an issue of survival for the Chinese Communist leadership, and most likely for People’s China as a whole. The consensus now is to mention the crack-down as a piece of viciousness that occurred for no particular reason. To say that the regime acted viciously while struggling for simple survival wouldn’t sound so good: it would be truthful, but Western intellectuals are infected by a ‘Post-Truthful’ viewpoint that holds that facts are not facts if you feel they ought not to be. To have continued to see it as a near-revolution would have weakened the case against China. Most people understand that those in danger of extinction mostly do go a lot further than they would normally: that’s a simple fact of human nature.
That’s not the only distortion. While being hostile to Deng and his successors, most Western commentators nowadays treat Mao’s quarter-century as sheer waste. Some of the official Chinese commentaries imply the same, ascribing all success to the 30 years of ‘opening up’. But that wasn’t how it was seen at the time. The USA spent 20 years refusing to recognise ‘Red China’ and floating the idea of restoring Chiang Kai-shek. (This is so little mentioned nowadays that some readers may doubt it was true: I will give details and solid sources in a later article.)
Before the 1970s, the USA prevented its own journalists from visiting a state that they pretended did not exist, but most other Western countries recognised People’s China and had diplomats and journalists there, some of them fluent in Chinese. All of them saw a rapidly improving country: people doing things for themselves that had been judged impossible in pre-Communist China.
Deng’s work would have been utterly impossibly without the foundations established under Mao, and it seems he knew it. Many different sorts of China could have emerged after Mao. The Maoist Left, already greatly weakened by the fall of Lin Biao and the purge of his faction, was destroyed in the campaign against the ‘Gang of Four’ launched by Mao’s chosen heir. Mao’s name was then used to justify a restoration of the full authority of the state-capitalist system that Mao had spent his last two decades trying to move beyond.
In being broadly favourable towards both Mao and Deng, I find myself in an extremely small minority among Western observers of China. That doesn’t much bother me: I’ve been part of an extremely small minority for most of my life. And I have seen massive power-accumulations burn out while a few of the things that were once marginal opinions gradually became mainstream. I’ve also frequently been wrong, but rather less frequently than mainstream commentators, particularly those of the New Right.
My original 1960s enthusiasm for Mao was ended by the mysterious disappearance and subsequent denunciation of Lin Biao (Lin Piao). If things could go so wrong for so long, then it didn’t seem likely the West had anything much to learn from China. Besides, there were interesting possibilities for reform in the West in the 1970s: reforms that the capitalists and the remnants of the old ruling class were ready to concede, most notably Workers Control. Sadly, this feasible advance was defeated by the inertia of a centre-left that saw no need to change. And also undermined by fierce opposition from both the decaying forces of pro-Moscow Communism and the sterile enthusiasm of Trotskyism. After that we had Thatcher and there were many other concerns. Only much later did I look back at China and try to work out what was happening.
One thing I quickly realised was that Mao and Deng shared the key quality of effectiveness. And effectiveness is something that most philosophers and political commentators prefer to ignore, and not just in the context of China. ‘Effective’ is a baffling and an elusive concept, the sort of thing that philosophers dislike and try to reason out of existence.
The dictionary defines ‘effective’ as ‘attended with result or has an effect’, a definition I’d prefer to sharpen as ‘attended with result or has an effect broadly in line with the wishes of the individual or group initiating the action’. In politics, it is all too easy to produce a drastic effect that is pretty much the opposite of what you were after, and such behaviour is a deal worse than just being inert or ineffective. This seems to be the current position for liberal Arabs who were so enthusiastic for the Arab Spring. It is also the likely outcome for the pro-Western Chinese dissidents, in the unlikely event of them ever overthrowing the existing rule of the Chinese Communists.
Effectiveness is actions that achieving results broadly in line with the motivation for those actions – but that is still pretty vague. Yet the concept of effectiveness seems to resist any more exact definition. Perhaps it should be described as successfully coping with problems that cannot be exactly described, nor handled by routine procedures. I don’t personally score very highly: somewhat above the human average in managing to live a life I find satisfying, but well below the level of effectiveness of the average middle manager. I am too reflective and discursive to wish to exercise direct authority over others, or to suppose that I’d be much good at it if circumstances pushed me into it. But having worked much of my life as a computer analyst and ordinary employee of various private businesses, I have seen managers and business people in action. I have noticed that neither their actions nor the vast literature of ‘management science’ has much in common with the theoretical capitalism of right-wing economists. Managers rely on their own perceptions and skill rather than any ‘Invisible Hand’, and effectiveness is a key matter.
Lenin was effective: even today we are following an historic path that is much more in line with Lenin’s 1917 intentions than the intentions of any other major leader in 1917. Trotsky was effective while working for Lenin, but not after Lenin’s death when he cut loose and claimed to be Lenin’s true heir. Stalin was effective, saving Lenin’s system when it might have collapsed and making it strong enough by a ruthless industrialisation to survive an invasion by Nazi Germany’s enormous and highly effective War-Machine.
None of the post-Stalin leaders were effective: they frittered away a position of enormous power. Putin is now effective in defence of Russia’s diminished world role, and the West is furious with him for daring to ignore them.
China has so far managed to avoid Soviet errors, passing on power from one effective leadership team to the next. The Western elite seem to keep privately hoping that it will go wrong, but China keeps on disappointing them. Someone with a lot of time to spend trawling through old Western magazine articles and scholarly books could produce a very nice collection entitled China’s Immanent Disasters, 1949-2014, with every prospect of a sequel. They’d find that the typical Western view was that China was always about to fall into ruin, followed sometimes by a grudging admission a few years later that those crazy Chinese had somehow managed to muddle through. More often no admission at all: Western observers currently recalling the period of Jiang Zemin’s rule fail to mention the widespread expectation after Deng’s death that now at last chaos would be breaking out in China. They’d also expected it after Mao, and I don’t know of anyone who expected or even speculated about what actually happened, the re-emergence of Deng and his dominance of Chinese politics for the rest of his life.
The Western elite have been useless at advancing Western interests in a fast-changing world. The upheavals brought about by Thatcher and Reagan did not regenerate long-term economic growth: the process simply shifted a lot of money to a stratum of very rich gamblers, some from the old elite and others new arrivals. They got us involved in several pointless wars: Afghans are impossible to change unless and until they choose to change themselves, while overthrowing Saddam in Iraq removed a moderately efficient Westerniser and got us a massive crop of hatred from the Islamic world. Now they try to spread fear of China, but China is not in fact a threat to the West. In this and future articles, I hope to show this to anyone who will listen.
Adam Smith and the mythical Invisible Hand
In the 1990s, I was taking little notice of China. Instead I was busy exploring the great emptiness at the heart of New Right beliefs. The benefits of market forces were supposedly demonstrated by Adam Smith. But Adam Smith doesn’t even put up a bad or flawed case for such a belief. He simply slips it into his analysis as if it were a proven fact.
It’s a tragic and remarkable fact that there was no serious left-wing analysis of Adam Smith until I wrote one. (At least none in English). There are some scattered shrewd remarks in the three volumes of Marx’s Capital and in Theories of Surplus Value, but these have to be extracted from a gigantic mass of other material.
I filled in a regrettable gap when I did a modern study of Smith in my book Wealth Without Nations. It was mostly original thoughts, not a sting of prose connecting quotes from the famous, but it did include Marx’s shrewd remarks about productive and unproductive labour in Smith’s analysis.
My book was published in the year 2000 and has been generally ignored, which was much what I’d expected. With so much literature being printed, most people need existing connections to get noticed. Make Friends, Not Truth is the secret of immediate success: not a game I’d wish to play and not a game I’d be any good at even if I did try. Still, I put my book there for people to use some day, and most of it still stands as accurate. In particular this passage:
Smith defines the root and heart of New Right Doctrine when he says:
“There is one sort of labour which adds to the value of the subject upon which it is bestowed: There is another which has no such effect. The former, as it produces a value, may be called productive; the latter, unproductive labour. Thus the labour of a manufacturer [worker] adds, generally, to the value of the materials which he works upon, that of his own maintenance, and of his master’s profit. The labour of a menial servant, on the contrary, adds to the value of nothing…
“A man grows rich by employing a mass of manufacturers [workers]: he grows poor by maintaining a multitude of menial servants…”
Wealth is deemed to be produced by capital accumulation, because that is how Smith chooses to define wealth. Beyond that, one finds nothing.
Smith deems wealth to come from capitalism, just as a lawyer deems his client to be innocent, however guilty they seem to be. Evidence does not come into it. Smith’s apparently simple remarks about productive labour and wealth smuggle in a whole range of concepts that would have aroused many questions and disputes if introduced in some more open fashion.
Smith makes no distinction between different sorts of value, the distinct though overlapping ideas of use-value and exchange value. A well of pure water has great use-value or usefulness to those who need to drink from it. The usefulness is hardly increased if someone starts charging for the water, giving it an exchange value.
If some benevolent local gentlemen has a servant look after the well, along with other helpful tasks for the needy traveller, this is ‘unproductive work’ by Smith’s definition. If the well is fenced off and denied to those who cannot pay, only then is the work productive.
Smith is saying that labour is only productive if it is directed towards producing a cash income for the rich. Wealth that is not also a contribution to the wealth of rich individuals is deemed not to be wealth at all, even if those ignorant of economics might suppose that it was. Smith anticipated and helped to promote the general destruction of all non-capitalist social forms that had begun in his day, and which intensified greatly in the 19th century.[E]
This is the basis for the ‘rationalism’ of the New Right. The hidden assumption behind glib talk of ‘rational’ and ‘correct’. I noted the contradictions at the time:
Any decent history of economics will tell you that Karl Marx took over the Labour Theory of Value from Adam Smith and Ricardo. But behind the Labour Theory of Value lies the concept of productive or unproductive labour. By this notion, the man who makes a piano may be considered a productive labourer, and so too perhaps is the man who tunes the piano. But the man who plays the piano is not a productive labourer.
This is not just an abstract point of theory. Much of the logic and practice of Thatcherism was based on this particular notion of Adam Smith. Nothing else would account for the privatisation of efficient and inoffensive public services – supplying water, for instance. From the Adam Smith / New Right viewpoint, a service that merely supplies good clean water cannot possibly be productive. It is only productive when it sees water as a means to an end, the end being to make a large profit out of its customers. And this is just what Adam Smith would have taught them.
“The labour of some of the most respectable orders of society is, like that of menial servants, unproductive of any value… The sovereign, for example, with all the officers of both justice and war who serve under him, the whole army and navy, are unproductive labourers. They are the servants of the public, and are maintained by a part of the annual produce of the industry of other people. Their service, how honourable, how useful or how necessary soever, produces nothing for which an equal quantity of service can afterwards be procured. The protection, security, and defence of the commonwealth, the effect of their labour for this year, will not purchase its protection, security and defence, for the year to come.”
Here is Smith at his cleverest and his most foolish. To use the term ‘unproductive’ is a brilliant bit of misdirection. If he had simply talked about profitable and unprofitable work, this would have made no impact. Government activities are not intended or expected to be profitable. If he had described government services as unnecessary, he would not have been taken seriously. To abolish soldiers, crown lawyers etc. would not have been possible without a major reshaping of society, which Smith was certainly not in favour of. Instead he taints them with the vague charge of being unproductive. Only he seems to have failed to see where such a view would lead, if applied as truths rather than convenient excuses.[F]
Adam Smith misunderstood the society he was operating within. He noticed that the British Isles were experiencing a vast upsurge of commerce, and that a lot of this was free of state regulation. He then made a rash generalisation, deciding that the system would be self-correcting in all circumstances, provided only that the state applies ‘laissez-fair’, a phrase best translated as let things drift.
Letting things drift is fine when it works, when the natural flow of things is much what you want. But you could hardly sail a ship without opposing the drift on occasions, maybe most of the time, depending on where you want to get to. And you can’t run a successful society by letting commerce develop just as it pleases.
In spinning out his analysis, Smith made a second error, introduced a second irrational belief that has ever since been upheld as “rational”. He claimed that only activities that produce an individual profit to some definite individual can be said to contribute to the wealth of the society.
The densely-packed arguments and learned historic examples found in The Wealth of Nations are assumed to contain some justification for these beliefs. In fact they do not: he slips in the assumptions without ever justifying them.
New Right politics is based on a fixed belief that anything not based on private ownership and the profit motive must be a consumer of wealth. Like Smith, they concede that some of this wealth-consumption is unavoidable. That some things have to be run by the state, notably the military and law enforcement, including judges
To get a handle on these ideas, they need to be separated out as distinct concepts:
Adam Smith’s First Hypothesis: the automatic self-correcting mechanisms within a commercial market will always be superior to state intervention.
Adam Smith’s Second Hypothesis: activities that are profitable in terms of return on capital invested are invariably an increase in the material wealth of the entire society. Activities that are not profitable in terms of return on capital invested are invariably an decrease in that wealth (though they may be necessary).
In the crisis of 2007-8, there were those who argued that the market should have been allowed to take its course, rather than the banks being bailed out. But no government so far been willing to bet their own future on Adam Smith’s First Hypothesis being true.
As for the Second Hypothesis, a comparison of the world’s heath-care systems show that private systems are more wasteful in material terms that public. Wasteful in providing operations and drugs of doubtful benefit to those who can pay. Wasteful also in not healing those who would be productive after some quite simple cure.
(A human society should also care for those incapable of further useful work, assuming they still wish to live. If conventional notions of ‘rational’ were valid then this would be an error, but the logic is mostly evaded.)
Not only are there flaws in the logic: Smith is not even a reliable recorder of actual events: ‘off-message facts’ get left out by him, just as they are by the modern New Right. In my book, I carefully document the interesting fact that Smith’s famous account of the manufacture of pins is ‘economical with the truth’. The process was indeed a remarkable case of division of labour, but definitely not the product of free markets. It seems that something much more like a guild system existed, and it also seemed as if quality control was necessary. Badly-made pins could be sold but would decay and offend the customers, who would then take their business elsewhere. The view that Smith passed on to generations of economists were wildly wrong, not even a good description of 18th century Britain.
I had to get all this by tracing stray references and getting a look at long-neglected pamphlets from the 18th century. What Adam Smith said about pins is famous, but the actual social development of pin making is obscure. You can find several decent studies of how the Galapagos Finches pushed Charles Darwin towards the idea of Natural Selection.[G] (Evolution as such was a well-known idea long before Darwin.) The hard facts about Darwin’s sources are there for anyone to read. But pins in 18th century Britain? That’s a study waiting to be done, something that would probably need to be dug out of lots of long-neglected manuscripts.
To return to the matter of ‘productive’ and ‘unproductive’, Smith never makes clear what he means. Marx notes that he confuses this definition with another and rather foolish definition in which ‘productive’ means only the production of tangible goods, excluding services. All of this is detailed in my book.
Smith might have argued that he called unprofitable services ‘unproductive’ because they do not in themselves produce wealth, even though they are necessary for wealth to be produced. There is an analogy in nature: trees use their leaves to capture sunlight and power themselves, while they use branches, twigs and the main trunk to position the leaves somewhere useful.
But is this the case? Actual material wealth is often produced by processes that rest on activities that did not yield a cash income. Scientists unconcerned with wealth worked out the basics of Quantum Mechanics, which among other things is necessary to understand and develop transistors, the vital components of the electronics we use in modern computers, mobile phones and digital cameras. A lot of the actual development was done by the USA’s military-industrial complex, producing military hardware which the USA mostly kept for itself, not selling the most sophisticated stuff to foreign nations. Or sometimes lending foreign nations money to buy US weapons, so it was still the state paying for it. Yet out of this came a mass of useful consumer goods that are now sold as commodities.
No one would have developed Quantum Mechanics as a means to create better consumer goods, because no one would have suspected that esoteric subatomic physics would be useful in that way. But once basic knowledge had been expanded by pure research based on a simple desire to know, lots of useful applications were discovered.
If you see the USA’s military-industrial complex as a source of wealth for that society rather than a burden on it, then you’d have to conclude that the West has not been really capitalist since World War Two. It has stayed Mixed-Economy, with a gigantic state at the centre of economic life and necessary for the wealth of the wider economy. On the pretext of restoring authentic free capitalism, Reagan re-tuned the Mixed Economy to give more to the rich and less to ordinary workers, with a lot of the middling-good jobs going to cheaper workers overseas.
The core function of the state was also proved in the half-forgotten economic crisis of 1987, and again in 2008. A Mixed Economy cannot easily go bust, but it can readily use the state’s gigantic power to handle a financial crisis in such a way that most rich people stay rich. It can then claim a gaping hole in state finances and cut back on things of benefit to ordinary people.
The notion of keeping state ownership of state-rescued banks has been viewed as unthinkable, identified with socialism and socialism identified with failure. So the banks will be privatised again, to reap gigantic profits from risky business strategies with the assurance that the state is there to bail them out for the next crisis.
The need to justify a military-industrial complex also explains why the USA had to be constantly seeking new wars after the Soviet Union collapsed. If it were just a matter of ‘burning off the surplus’, as Baran and Sweezy argued in their famous book Monopoly Capital, then space exploration could absorb almost unlimited funds and bring some interesting and exciting returns. Myself, I don’t believe there is a need to ‘burn off surplus’ as such. But space exploration in the form of space probes and telescopes could theoretically replace military expenditure as a system of state-supported technology opening up new areas and often generating innovations that were later applied to consumer goods. The problem is that the dominant ideology is ‘Primitive Capitalism’, a desire to return to a 19th century condition. It is much easier to persuade an elected assembly to spend money on weapons than to spend money on exploration and the acquisition of knowledge.
The Listian Alternative
My book on Adam Smith also considered the work of Frederich List, which Brendan Clifford had drawn my attention to. List was a German economist who wrote after Adam Smith and before Karl Marx. Unlike Marx, he did not call for the overthrow of the existing system, which he saw as highly reformable. And he saw capitalist forces as useful in themselves, not just as a useful force for the destruction of the older order. But unlike Adam Smith, he did not think that capitalism should be allowed to run wild. He insisted that it was a dangerous and potentially destructive force, and that it should be cultivated for the benefit of society in general.
List’s analysis is a good match for what actually happened after his era, and it is odd that he is so neglected.
At the time, I said:
The Hanseatic League is where itself up to the outside world, to get some idea of modern thinking.
— When this first process has disrupted tradition, the developing economy should wall itself off behind protective tariffs, to allow fledgling industries some time to dEuropean capitalism ought to have developed and would have actually developed, if the AdamSmithite notion was correct. But just as the real economy has repeatedly shown itself ignorant of basic economics, so recorded history failed to comprehend elementary historic truths.
New Right models of development are not found to exist outside of their own imaginations. Actual progress always occurs under conditions of state regulation and encouragement, the very setup that they describe as ‘burdensome’
The German economist Frederich List directly challenged AdamSmithite orthodoxy on just this point. He correctly decided that any nation that wanted to grow strong would need a period of protectionism. He had an interesting three stage model of growth:
— First a backward economy should open itself up to the outside world, to get some idea of modern thinking.
— When this first process has disrupted tradition, the developing economy should wall itself off behind protective tariffs, to allow fledgling industries some time to develop and grow strong.
— Finally, when it is strong enough to be a world-class player, it should drop protectionism and compete freely with older industrial powers.
This three-stage approach was what List advocated in the 1820s and 1830s. It was also the actual 19th century policy of both America and Germany. Even the recent emergence of China into the global economy seems to fit this pattern, though perhaps accidentally. The actual politics of China represent a long-running struggle between Maoist protectionism and the pragmatic free-trading introduced by Deng Xiaoping. Mao and Deng are commonly seen as polar opposites. But from a Listian viewpoint, both were right in their own eras.[H]
On the basis of this understanding, I began taking a closer look at China under Deng and his heirs, and found that it was a long way from what is normally defined as capitalism. It gets generally called capitalism, certainly, with a few dissenting voices in official circles from 2011. For most of those who write about China, Mao’s accusation that his opponents would restore capitalism is taken to be literally true. One left-wing economist recently said
The consensus on the mixed economy fell apart in the 1970s and 1980s, after the decisive events in the two largest centrally planned economies: the collapse of the Soviet Union and the abandonment of its empire, and the opening of China to the market.[I]
Yet it’s absurd that this should be the consensus, since China was and is a much more socialist Mixed Economy than ever existed in the USA or Western Europe.
Nor is the Soviet collapse necessarily an argument against the Mixed Economy. You could see other reasons for the Soviet failure: most notably the political rigidity that shocked the world with the 1968 invasion of Czechoslovakia. Or you could see it as a failure to realise H. G. Wells’s vision of a rational world state, a vision that fell victim to the complexities of the world and the fierceness of its rival nationalisms.
Had the Soviet Empire collapsed in the late 1960s rather than the late 1980s, the various fragments would have retained a broad belief in socialism. History would almost certainly have gone otherwise than it did with the 1989-91 collapse. It was Leonid Brezhnev’s technically brilliant success in preventing change for 20 years that did the big damage to European socialism.
Brezhnev also suffered from the mess left behind by Khrushchev, who had thought he could denounce Stalin as a criminal without calling the whole existence of the state into question. That was an error that Deng in China avoided, accepting the obvious fact that his work was based on foundations created by Mao, and that he himself was largely a product of Mao’s politics.
Deng should also have been aware that Mao’s politics got China working as something like a modern state, when it had bungled various attempts at modernisation over the previous 100 years. Most would-be modernisers in China imitated the externals of Western life without understanding anything significant. This included the adoption of Christianity, which had lost its grip on the minds of most of Britain’s rulers and Britain’s thinkers some time in the 18th century. Adam Smith was one of the rejectionists, and went as far as was safe in his era to treat the Christian faith as a load of baloney.
Mao seems never to have been impressed by Christianity, but managed somehow to absorb a clear understanding of what the West was about from translated Western literature, not all of it Marxist. Both Edgar Snow and Agnes Smedley had long talks with him – mostly via a translator: Mao never learned English and his Hunanese dialect of Mandarin was tough to follow for foreigners who had learned the standard version. Well-educated writers and journalists, they both noticed how much he knew about Western culture despite a lack of language skills and direct experience. Smedley saw this more clearly: she had operated for years within the Marxist left without ever being absorbed into it. She noticed that whereas other Chinese Communists would show off their knowledge of Marxists texts by quoting bits and pieces of remarks that might be relevant, Mao kept his much more considerable knowledge in the background and expressed himself in terms familiar to his audience.[J] [I] This can make his works seem enigmatic when translated into English: saying ‘I am not the Duke of Zhou’ would be immediately understandable to most Chinese, but most Westerners would not know the Duke of Zhou from Zhu Bajie.[K] To put it as ‘I am not some chivalrous gentleman more concerned with honour that victory’ might come closer. (I can’t actually think of a famous figure in Western history or myth who had those qualities: most of our heroes are also cheats.)
I get the impression than in the original, Mao’s essays manage to be both earthy and erudite. That’s just a guess: I suppose that it would need someone with great knowledge of both languages and both cultural worlds to get the translation right: and this might take a long time. We do have one apparently well-translated piece: Mao’s remarkable autobiography that is included in Red Star Over China, about which I’ll be saying a lot more in a future article.
Mao later defined the core of his creed as rebelliousness. That’s also the starting-point of Western ‘bourgeois’ development, the process of modernisation as it actually happened rather than as the West’s cultural missionaries tend to claim it happened. The Latin-Christian tradition of Western Europe rebelled against its Greek-Christian roots, the orderly structure that had emerged when Emperor Constantine incorporated Christianity into the developed and highly bureaucratic state-machine that had allowed the Empire to recover from its 3rd-century crisis. Within Western Europe, the Christian clergy gradually managed to undermine the concept of Sacred Kingship which the Germanic barbarians had retained when they converted. The Latin-Christian clergy then tried to set up a theocratic system centred on the Patriarch-Bishop of Rome (conventionally knows as ‘father’ or ‘papa’ or pope). But the secular lords rebelled, murdering or deposing several strong popes. They also helped create a schism with two and even three rival popes and eventually broke the project. But as part of the clerical offensive, a revival of Aristotle’s works and their blending with Christian theology by Thomas Aquinas overthrew the misty Christianised Platonism of the Dark Ages. A few centuries later, a revived and much more coherent Platonism in the Renaissance hit back at what had become a foolish and sterile Christian-Aristotelian system of philosophy.
In all this confusion, a few thinkers dared to covertly reject Christian belief. A long and bloody battle between Catholicism and various types of Protestantism killed millions and hugely damaged much of Europe, especially Germany, but in the end produced an uneasy stalemate. It left some people thinking that if God hadn’t ensured the victory of whichever of the rivals was in fact the True Church, maybe none of the claimants had anything much to do with God.
(People can quite logically believe in a remote and inactive God without supposing that any known religions have a valid connection to this God. It’s known as Deism or Theism and was common among Western thinkers in the 18th and 19th century, especially among scientists. In modern times, outright atheism is more common.)
Britain in the ‘English’ civil war threw off centuries of custom and belief, going against all tradition when they executed their King without pretending that he was anything other than the lawful king by traditional rules. Cromwell’s English gentry faction also defeated the rival Presbyterians of both England and Scotland and operated a Republic based on their own ‘Independent’ variety of hard-line Puritanism for a few years. They had a definite vision of the future, attacking the popular-superstitious versions of Christianity and smashing its visible signs in statues, stained glass and sacred wall-paintings with as much enthusiasm as China’s Red Guards later trashed much of their own heritage. (Or as the Italians had in events known as ‘bonfires of the vanities, under a string of enthusiastic Roman Catholic preachers, of whom Savonarola was just the most notable.)
Enthusiasm has a way of running out after a few years. In Britain, puritan and republican enthusiasm collapsed back into monarchy, but a monarchy that knew that its position was uncertain and that there was no solid tradition to preserve or uphold. The heirs of the Puritans were never tamed, and as Whigs they were mostly the governing party that the monarch had to co-exist with. When some of them helped start the Industrial Revolution from the 1760s onwards, there was a limited traditionalist reaction but never enough to stifle the process (as did happen elsewhere in Europe). The dynamism of the society was in the other direction: Britain’s settlers in North America revived the Republican experiment in the new United States of America, though on an explicitly secular basis and with a hope that religion could become a private matter. (Religion as a private matter is functionally equivalent to atheism, while allowing the believer to retain personal hopes for help and salvation and survival after death.)
Not long after the success of the American War of Independence, there was an even more drastic rebellion by New Europe against Old Europe in the French Revolution, which copied the British model in executing its King without pretending that he was anything other than the lawful king. They then operated a Republic, this time based on explicit Deism, a belief in God but a denial of Christianity. This First Republic was not however a success: it ran through several different systems before becoming an Empire under Napoleon and then having its monarchy restored. Followed by an alternative and more liberal Orleanist monarchy, a Second Republic, a Second Empire and then a Third Republic which lasted in rather sleazy stability up until World War Two.
All of this disorder and uncertainty was combined with a growing expansion of European power into the wider world. Europe’s tremendous inner tensions made European nations vastly stronger than anyone else, yet also prone to repeated bouts of violence and rebelliousness. The Russian Revolution was part of it: it included a third instance of a nation executed its monarch without pretending that he was anything other than the lawful monarch, and it also involved a radical new creed, one that included official atheism without any babble about a ‘Supreme Being’ of the sort that was widespread at the height of France’s First Republic.
(By the time the Soviet Union collapsed, most of the radical demands of the rebels of 1917 had become mainstream European values. It is understandable that there was a popular upsurge against a regime with an ideology of revolution but a reality of stagnation and confusion: this does not mean that the original revolution had failed or was unnecessary. The ending of the Cold War has not in fact been the end of history: it is instead another and still-unresolved shift in the will of the peoples of Europe.)
Europe has always been in rebellion against itself, and continues to be so. There was nothing but futility in the attempt by superficially Westernised Chinese to be authentically Westernised Chinese by being imitative and reverential of the current embodiment of those values. You could only be an authentically Westernised Chinese by being a rebel against the current embodiments of Western values, at least in as far as they hampered China or seemed to be irrelevant. And that’s why Mao was China’s best Westerniser to date, despite his very limited experience of the mundanities of Western life.
As I’ll detail in a future article, visitors to the Chinese Communist bases at Bao’an and later Yen’an noticed that these were the only Chinese in China who behaved more or less as Westerners would have behaved in a similar situation. Other Chinese might speak good English, wear Western suits and sometimes show considerable knowledge of Western culture: but it was all imitation and the inner core was different and ineffective. Western-trained engineers and geologists who returned to China kept their distance from hands-on practical work, because anything resembling manual labour would have lost them status in the eyes of Chinese intellectuals. They were imprisoned by a tradition stretching back to Confucius and beyond. Only a few broke these ancient taboos, mostly the Communists and some scattered left-wingers in the weak middle ground. And it was the modernised Chinese in the Communist Party who chose to raise up Mao as the prime teacher of this new understanding.
Remembering Mao
I found [Mao] a most impressive man. Physically he was extraordinary. His complexion was very dark, but at the same time his skin seemed shiny…
In contrast to the distinction of his manner were his clothes, which looked completely worn out. His shirts were always threadbare at the cuff and the jackets he wore were shabby. They were identical to those worn by everyone else, save for the colour, which was a slightly different shade of drab. The only part of his attire that looked well kept were his shoes, which were always well polished. But he did not need luxurious clothes. In spite of looking down-at-heel, he had a very emphatic air of authority and sincerity. His mere presence commanded respect. I felt, too, that he was completely genuine as well as decisive.[L]
This, surprisingly, is the Dalai Lama’s impression of Mao. A view expressed in 1990, when it would have been much easier for him to have taken some other view or written off his initial enthusiasm as youthful ignorance. I regard the Dalai Lama as a fool, but also an honest fool.[M]
Even more interestingly, you get a rather similar view from Kissinger, who is neither a fool nor honest. But he probably does want to leave behind books that people will still find worth reading in 100 years time, which most likely they will be. So he does not cater to current fashions. He could have made himself more popular among the current elite by claiming he cunningly strung along a mad dictator, managing not just to contain the Soviet Union and Communist Vietnam but also pave the way for Deng to save China. But I assume he knows better and sees no need to flatter a bunch of fools. Definitely, that is not what he says. Commenting on Mao’s supposed lack of concern about nuclear war, he says:
Whether Mao believed his own pronouncement on nuclear war is impossible to say. But he clearly succeeded in making much of the rest of the world believe that he meant it – the ultimate test of credibility.[N]
He also sees the underlying logic of the Cultural Revolution:
Mao’s dilemma was that of any victorious revolution: once revolutionaries seize power, they are obliged to govern hierarchically if they want to avoid either paralysis or chaos… Thus from the beginning Mao was engaged in a quest whose logical end could only be an attack on Communism’s own institutions, even those he had created himself. Where Leninism had asserted that the advent of Communism would solve the ‘contradictions’ of society, Mao’s philosophy knew no resting place.[O]
Having himself reshaped the world a little according to his wishes, Kissinger sees the problems that Mao faced from the start:
At the head of the new dynasty that, in 1949, poured out of the countryside to take over the cities stood a colossus: Mao Zedong. Domineering and overwhelming in his influence, ruthless and aloof, poet and warrior, prophet and scourge, he unified China and launched it on a journey that nearly wrecked its civil society. By the end of this searing process, China stood as one of the world’s major powers and the only Communist country except Cuba, North Korea, and Vietnam, whose political structure survived the collapse of Communism everywhere else…
Mao’s China was, by design, a country in permanent crisis; from the earliest days of Communist governance, Mao unleashed wave after wave of struggle. The Chinese people would not be permitted ever to rest on their achievements. The destiny Mao prescribed for them was to purify their society and themselves through virtuous exertion.[P]
I’d qualify that: China’s civil society could not be wrecked because there was no functional civil society in the first place: nothing that could successfully look after social needs in the absence of the state. Melting down and reshaping the half-effective and part-Westernised fragments that had accumulated since the Opium Wars was something that any effective Chinese leader would have needed to do, whatever he was intending to replace it with. Tough on those individuals who constituted those half-effective and part-Westernised fragments, but that’s how life tends to work. Mao gave priority to the needs of the majority of the population, and was right to do so. And China for most of Mao’s period of rule was immensely vulnerable, needing to fear both a US invasion fronted by the Taiwan government and a take-over by the Soviet Union.
Kissinger looks back to 1949-50 and considers that the USA blundered by being so hostile. He notes how the then Secretary of State Dean Acheson tried to create “an explicit Titoist option for China” and that “such a view towards Communist China would not be put forward again by a senior American official for another two decades, when Richard Nixon advanced similar propositions to his Cabinet”.[Q]
He does not, of course, mention the awkward little detail that Nixon in 1949-50 was one of the red-baiters who helped destroy the original option. It’s still a correct insight.
This has wider implications – matters Kissinger does not mention and perhaps has not seen. (Or perhaps saw but thought it best not to mention.) It seems very likely that People’s China would have remained less aligned with the Soviet Union if the USA had been more reasonable. This interesting option has been noticed by others – though not, as far as I know, by any of the Westernise Chinese who have since whined a lot about how life was tough for them during China’s enforced isolation. They have an incurably dependent mentality, and so blame their own people for distrusting them rather than the West who made this distrust a fairly reasonable distrust.
Life is a negotiation with necessity. Politics deals with the higher levels of necessity, the way in which entire societies can be reshaped. Also the cost of such reshaping, allowing intelligent choices about when and where changes are needed.
European socialists in the 1960s and 1970s mostly lost touch with reality. Far too many of them ignored the huge benefits that had flowed from World War Two being fought by an alliance of the left and the traditional centre-right against the highly efficient and effective radical-right force that was fascism. The bulk of the left chose to emphasised socialist failures rather than socialist successes. Wrote a great deal about socialist and technocratic similarities to fascism and practically nothing about the warm approval for fascism show by most of the traditional centre and right until they found themselves the next targets.
(The chances are that the average reader will know nothing at all about the guilt of the traditional centre-right in the 1920s and 1930s. So I’ll go into it in detail in a future article.)
Most European socialists in the 1960s and 1970s took much too negative an attitude. They didn’t say, ‘the previous generation got half a loaf, now let’s get the other half’. The interesting possibilities of Incomes Policy were seen as a terrifying manifestation of ‘corporatism’. The interesting possibilities of Workers Control were presented as a capitalist plot against working-class militancy. The bulk of the left ignored the possibility that working-class militancy might burn itself out if it went on churning without clear benefits to ordinary working people. A few of us pointed out the opportunity, but there were never enough of us to get through to the bulk of the working class.
Workers Control would have made a difference. It would have been an advance in quality of life, even if it hadn’t been an economic success. It also might been an economic success. But the idea was crushed between two unrealistic alternatives: a Labour centre-right that wanted no radical changes and a ‘hard left’ that thought they could bring about a Leninist-style seizure of power
Losing touch with reality may have helped to usher in a new reality – ideas that were marginal in the 1970s are dominant now, as I’ll detail in another article. But it also paved the way for Thatcherism.
The last thirty years have demonstrated beyond reasonable doubt that progress is not inevitable. But nor is the cause hopeless. The key point about Thatcher was that she was not really a conservative, and nor was Ronald Reagan. The New Right promised that unregulated capitalism would restore Britain and the USA to their former greatness, but it did not happen. It promised less state spending, and state spending remains as large as ever. It promised that if their New Right program were implemented, traditional morality would revive, and in fact it has sickened and died. They have also been smart about shifting the blame for such failures, but that’s not something they can carry on doing for ever.
Speaking for myself, I was born in 1950, the middle of what was called the ‘Baby Boom’.[R] Thinking about my situation, I had no doubt that the left had been big winners since the end of World War Two, and expected this to go on happening. I was confident of the past and hopeful of the future, but in this I found myself in a minority. Too many on the left got into a habit of talking as if socialists had zero achievements.
Of course Trotskyism, the dominant brand of Western leftism since the 1960s, really does have zero achievements. Zero achievements for Trotskyism as a distinct political force that broke away from mainstream Leninism in the 1920s: under Lenin’s direction from 1917 Trotsky was intermittently a highly ruthless and effective politician. But what Trotsky taught his followers was how to fail and blame others, not how to succeed and be effective.
There are some curious parallels between Trotsky and Mao. Both were children of prosperous farmers (though it’s not the image Trotsky later presented, despite operating in a Russian society not far removed from its rural roots and still often nostalgic for them). Both men showed brilliance at school. Both made their name first as agitators and organisers and then showed an unexpected talent for military matters. They were also the only major Leninists to do a biography: I’ll have a lot to say later on Mao’s in a future article. And the Cultural Revolution may be best understood to be what Trotsky’s ‘Permanent Revolution’ would have amounted to, had it ever been seriously tried.
The significant difference is that Mao always refused to become an oppositionist within the Leninist framework. When out of power, he was content to be an alternative, rather than setting himself up as an oppositionist. Mao clearly had an excellent understanding of the nature of the Leninist political machine. I can’t think of anywhere where he writes a clear description of it, but that’s probably because he knew that too much frankness about the real politics of the machine would undermine people’s faith and idealism and prevent anything useful being achieved.
Mao was also not hampered by notions of European bourgeois individualism of the sort that Trotsky kept reverting to, even though Trotsky was contemptuous of it when it got in his way. When Trotsky was part of the Bolshevik overthrow of Kerensky’s Moderate-Socialist government, he sneered at them as “refuse which will be swept into the garbage-heap of history”.[S] When he was shoved aside he saw that as something quite different, and denounced the party mainstream in such savage terms that no reconciliation was possible. This was strikingly different from Mao, who quietly accepting his loss of importance when the central party leadership moved in on the successful Liberated Area that he and Zhu De had created. Mao also refrained from public protest or denunciation when this new leadership adopted new tactics and ended up losing the Red Base he had helped create. He kept a low profile in the early stages of the famous Long March, waiting till he had won over enough people to take over at the Zunyi Conference and make himself effectively the party leader. (Surprisingly, he was not officially leader until he became Chairman in 1943.)
Interestingly, Deng was an even more of a quiet survivor. He fell from power three times, once as a follower of Mao in the early 1930s and then twice when Mao was supreme. Each time he came back, and as Supreme Leader showed considerable modesty and forgiveness despite a great deal he might have been resentful about.
(Forgiveness when there was a great deal to be resentful about was also a feature of the post-prison life of Nelson Mandela, and the reason why South Africa has so far avoided Civil War. Here at least it does get generally recognised, including in two fairly good films, Invictus and Long Walk To Freedom. Invictus was made first, but relates to later events and is best watched second if anyone decides to check this out for themselves.)
Sometimes the meek really do inherit the earth: provided you understand meekness as a willingness to be modest and wait. That worthwhile meekness can include a willingness to fight hard when you have a sporting chance of winning.
Meekness is not a quality of the New Right, and nor is truthfulness or objectivity. Having created a gigantic financial bubble that still blights the West, the New Right are now citing China as the surviving example of successful capitalism. If an economy can be ‘capitalist’ while having no private property in land, a currency that cannot be traded freely, state-owned companies dominating the ‘commanding heights’ and non-capitalist forms of ownership at every level, then it is a ‘capitalism’ that’s well to the left of anything that’s ever existed in Western Europe. Arguments that cite this successful ‘capitalism’ as a reason not to restore Western Europe’s successful Keynesian system are really absurd. But that’s New Right logic: “this creature quacks, has feathers and webbed feet, therefore it’s a panda”.[T]
It’s also very doubtful if the Chinese Mixed-Economy system that evolved from the late 1970s could have been implemented in the 1950s, even supposing that China then had a leadership seeking such a solution. China from the 1860s to the 1940s had just the elements that the New Right view as desirable: an open economy and a large Middle Class. Yet the Chinese economy failed to grow in this period, it may even have shrunk. The current crop of Western books about China usually fail to mention this, they have an unhappy habit of ignoring ‘off-message facts’. You need to go to Angus Maddison’s The World Economy: Historical Statistics to get the actual figures.
When Mao became ruler of China, he was taking over a country that seemed hopeless, a failed state. But in his quarter-century as top leader, China saw very fast economic growth and growing political strength. Had China after Mao continued with Maoist policies after his death, and had they continued to achieve about the same success, then such a China would still be an economic giant, though not as much as it is in history as it actually happened. And of course such a China would have remained self-sufficient and not be destroying manufacturing jobs in Europe and the USA.
It’s also perfectly possibly that Mao’s system would have improved had it had the same access to global markets and global technology that Deng’s China enjoyed. It would have needed a gifted leader to have brought it off, but maybe there was one who never got a chance. And Deng also gambled on China not being in danger of invasion, which Mao could never sensibly have done.
After 1949 and up until the Korean War, the USA seemed ready to abandon Chiang Kai-shek. The Chinese Communists had been steadily taking over the last remnants. First Sichuan, where Chiang Kai-shek had been considering trying to make a last stand, but abandoned the notion. Then Hainan, a large tropical island in China’s far south. The conquest of Taiwan was scheduled and was not expected to prove any more difficult. Not until the USA decided to send in its fleet and make itself a potential combatant.
The USA then spent the next 20 years refusing to recognise the People’s Republic as the actual government of China. The Kuomintang kept China’s seat on the UN Security Council until 1971. In the early 1950s, the People’s Republic was treated as a Russian take-over of China. Mao was denounced by the USA for failing to defend Chinese national interests in Manchuria and Xinjiang (Sinkiang).
Most present-day Western historians say as little as possible about this: it is on-message to denounce Mao as irrational and to sneer at Edgar Snow and other left-wing commentators without mentioning the appalling rubbish written by centrist and centre-right writers at the time. I citied Time earlier: there is a lot more like that. You even find these out-of-date views immortalised in Science Fiction: thus Robert E. Heinleins’ alien-invasion scare story The Puppet Masters says as part of the back-story “The Russian bureaucrats had even cleaned up China to the point where bubonic plague and typhus were endemic rather than epidemic.”[U]
In the real world, China cleaned up its major health problems with minimal outside help. Meantime Chiang Kai-shek issued regular promises to recover the mainland, claims that were taken quite seriously at the time. Taiwan by itself caused trouble for several years after 1949 but was never a serious threat without the USA also joining in. But this was always a possibility. Thus:
Facing the bastion of Asian Communism, Chiang became a Cold War icon in the 1950s… Around 1960, he proposed to invade the Mainland after the chaos of Mao’s Great Leap Forward, but Washington declined to back an offensive or provide him with nuclear weapons.[V]
Five months after the Korean Armistice [in 1954], a National Security Council policy paper approved by Eisenhower stated that the United States would, without directly involving U.S. forces, ‘encourage and assist the Chinese National Government … to raid Chinese Communist territory and commerce.[W]
The USA always stopped short of getting directly involved, but it would have been foolish for Beijing to assume that this would always be the case. The USA did do other invasions – helping overthrow an elected left-wing government in Guatemala in 1954, for instance. And after the Soviet collapse in 1989-91, the USA showed that invasions were still a favoured method. Smashing the secular regime in Iraq was foolish, but it happened.
The threat to China from Moscow was also very serious from the early 1960s. After the 1956 invasion of Hungary and then the 1968 invasion of Czechoslovakia, it seemed highly likely. There was even a 1969 book by Harrison E. Salisbury, Pulitzer Prize-winning correspondent for The New York Times entitled The coming war between Russia and China.[X] And there was a similar prediction from a Polish born journalist called Victor Zorza, who was noted for correctly predicting the 1968 invasion of Czechoslovakia at a time when most people had not expected it.[Y]
From Shang to Manchu
China and Europe are inherently alien to each other, for reasons that lie deep in their respective histories. They came from different starting-points, and have a record of tackling similar problems in very different ways
Four river-valley civilisations invented modern civilisation. Oldest of all is Mesopotamia, probably not the first urban culture, but the first urban culture that flourished on a large scale and then left behind numerous remains, including writing that experts can read. Egypt and the Indus Valley came later and had much in common with Mesopotamia: the exact links are speculative but they mostly used the same crops and may have been founded by Mesopotamian emigrants merging with local elites.
Youngest was China, or rather a proto-China centred on the valley of the Yellow River but extending down to the Yangtze River valley. It used different crops, was geographically far separated and seems to have been only loosely and intermittently influenced by the older river-valley civilisations.
Imperial China also outlived the others by a couple of millennia, if you accept the standard Western view that Hindu culture derives mostly from an eastern-migrating branch of the Indo-Europeans and only secondarily from survivals of the Indus Valley or Harappan culture. (Some Indian scholars say there was much more continuity.) But in the case of China, a lot of its politics had continuity over at least 35 centuries, from the start of the Shang Dynasty to the fall of China’s last dynasty in 1911-12. That’s a longer period of continuous culture than even Ancient Egypt, which lasted 31 centuries from the First Dynasty to the suicide of Cleopatra.
China, Korea and Japan seem to have each settled on 5000 years as the official claim for age of their own civilisation. That’s partly a matter of definitions: obviously there was something there before the first unified state, but was it one tradition or several? But the historic existence of the Shang Dynasty has been confirmed: it left behind ‘Oracle Bones’ that use a writing system that’s an archaic form of modern ideograms. These date from thirty-two centuries ago and seem to speak of a complex and developed culture – one that left behind many sophisticated artefacts that are even older. And much-modified elements of Shang culture were still existing in 1912, when the Empire ended as a recognised entity.
When China was busted open by the Opium Wars, this huge stretch of history meant that adaptation was a great problem. The core of the culture was the teachings of Confucius, who had lived twenty-five centuries ago. He had viewed himself as a proposing the restoration of older traditions, the benevolent rule of the Xia, Shang and Zhou dynasties. Most of what we know of Chinese history has come via people who were committed ideologically to this view: yet still it does seem to be broadly true.
In mainstream Chinese thought, a good person was someone who worked to maintain the traditions that Confucius had honoured, or to restore them when they had broken down, as they had in Confucius’s own era. This worked fine for many centuries. But in the 19th and 20th centuries, how could this be reconciled with the need to match the military strength of the West? Was it the best way to cope with foreign nations that could send their fleets one-third of the way round the world and still be much stronger than China’s best?
For the last half-century of its existence, the Manchu Dynasty made efforts to modernise. But it failed miserably. It was replaced by a weak Republic that was never properly in control of its official sovereign territory and which never dared challenge the intrusive Western powers.
(This era is sometimes called ‘Nationalist’, at least in its later Kuomintang phase. But it is ridiculous to use the label ‘nationalist’ for people who never stood up for their own country and who frequently slaughtered and betrayed their own people out of fear of foreign anger. Rather than ‘nationalist’, I’ll call it the Blue Republic.)
In China, as in several other Third World countries, the local Middle Classes were totally incapable of generating a proper nationalism. The task had to be undertaken by the local Communists, which made it something very different from what happened in Europe and also very different from what Marxist theory led orthodox Leninists to expect. The post-Mao era is in some ways a return to the sort of society that the Blue Republic was trying and failing to generate. But also less of a return than most Westerners suppose.
China today is a Mixed Economy, whereas under Mao it was almost pure collectivism. But the capitalism element in the mix remains much less than it was in Western Europe during the Keynesian Era. Even before the recent economic crisis, there was a feeling in the leadership that there was too much inequality and that it was the duty of the state to correct it.
This isn’t a history of Mao, nor a history of China. You can find some good books about both topics, and also a slew of rather bad books. My own contribution is also not a history of Maoism as a distinct global movement that flourished for a time in many countries and is still significant in some. That would be interesting, but is also something I’m not qualified to write. Also Maoism outside of China can not be called ‘normal politics’, except maybe in Nepal and conceivably in the future in India, or some fragments of India if it breaks up. Maoism was also potentially the core of a new development in Peru and South Yemen, but those places have now taken a different path. And in the Dutch Republic, there is a Socialist Party with 9.9% of the vote in the 2010 election that began as a Maoist group.[Z] But I don’t know a huge amount about those matters, and also their significance is perhaps not so large in today’s world. (A world that was transformed by Leninist influence into something new which Leninism no longer describes adequately.)
Maoism as the final phase of Leninism was not hugely successful globally. But it has fed into mainstream politics much better than Trotskyism, which remains marginal or else fed into New Right lunacy.
All of this could be another article, but not one I intend to write. Instead I will be talking about China and about Western misunderstandings of the 20th century in a series of articles following on from this one.
Maoism in China was normal politics, because it created a modern society in China that was fairly close to Western norms. And because it did so after other paths had been tried and decisively failed. World politics would have run more smoothly if this had been understood at the time, and will run more smoothly in the future if this becomes more widely understood in Europe. I’d be very surprised if it were ever much understood in the USA, which is intensifying its own ideology and sense of purity and uniqueness as its bid world dominance runs into trouble. (The normal pattern for declining powers.)
The world outside of Europe and North America mostly treats China as alien but useful: they have no interest in changing it or being changed by it, so it makes little practical difference whether they understand its past. But Europe has been following politics based on illusions, about China and about many other places, notably Iraq. Europe – including Britain – has been wiser in the past and may be wiser in future.
With China waxing ever more powerful in the world, there is bafflement in the West that it keeps Mao as its ideological core. That it has politics that could best be called ‘Blue Maoism’. There is bafflement because thinking is dominated by a ‘LibetLiber’ continuum, a range of politics that are a blend of Libertarian and Liberal ideas.
The ‘LibetLiber’ crowd can’t understand China because they fail to see that their ideas exist within a shared European culture and history, a ‘norm’ that is utterly different from anything that has ever existed in China. European has a long history in which elections by qualified electors were seen as the source of legitimacy. This was not democracy as we’d understand it today: the ‘qualified electors’ were usually a rich male minority. But this system of regular, contested and decisive elections was widespread in the ancient republics of Greece and Rome, the sources of European culture. It was preserved or re-created in many other places, city-states and also city governments that ran their own affairs while acknowledging the monarchy as the connecting element between themselves and their neighbours.
Europe also had a history in which you could oppose the legitimate ruler without denying that they were the legitimate ruler. A history in which rebels could even execute the person who was undeniably their legitimate ruler by existing tradition, as happened in England and France and Russia. All of this was a very unusual history. No two civilisations have the same approach, but all of them had more in common with the traditional Chinese system than they had with Europe.
(Traditional China did of course have the idea of a ‘Mandate of Heaven’. This meant just that the person who had been the legitimate ruler was no longer in heaven’s favour and someone else had become the legitimate ruler. That’s not unlike political transformations that happened elsewhere, Europe included. Indeed, I believe that Japan is the one place where this was not viewed as possible: where the Emperor (Mikado) was completely impossible to replace except by someone from the same sacred family, though they were quite often prevented from actually ruling.)
It’s not only that Europe had its own unique history, the LibetLiber viewpoint also misunderstands Europe. They don’t properly understand how Western Europe became an industrialised democracy, and in fact misrepresent it. Britain acquired a stable two-party system in 1688, after five decades of Civil War that had failed to produce a stable victory for any one faction. But this multi-party system was run by a small elite until 1832 and wasn’t remotely democratic until 1886. The complex processes of the Industrial Revolution is most commonly assigned to the period 1760-1830, i.e. completed without democracy and a lot of the time in prevailing in the fact of bitter hostility from the radical-democratic opposition within Britain.
Britain’s Reform Act of 1832 was a limited reform: the pre-reform parliament had given effective power to a couple of hundred rich families and the reform moved it to maybe one-seventh of the adult males in the British Isles. In the rest of the British Empire there were a variety of different systems, including some limited democracy, mostly based on race and property. British India was run from first to last by officials appointed from London, initially by the East India Company and later by a British government responsible only to the British electorate. Liberal hero John Stewart Mill was one cog in this ruling machine, making a nice living as a senior official in the East India Company’s London offices without ever going near the people the East India Company ruled.[AA]
You can find many histories of the imperfections of British democracy. I’ve not been able to find a proper history of how the Chinese Empire ceased to be what it was and fell into chaos in its attempts at Westernisation, before finally becoming something else. What you find in Western histories of China is bafflement that everything went wrong from China in the period when they are seen as ‘doing everything right’. No comprehension of how the ‘Blue Republic’ successfully swallowed the good intentions of reformers, most notably the Kuomintang when Chiang Kai-shek seized control in 1927.
If things go wrong when people are ‘doing everything right’, you need to change you assumptions. Unsurprisingly, the New Right can not manage that. It is also beyond the Liberal-Left, and there is no surviving Old Right worth speaking about. These articles will try to point people in the direction we should be thinking, as China gets increasingly important in the world.
This work sprouted off another work, an account of Tibet that I began in 2008, when it seemed that this was about to become a major issue. Priorities changed when 2008 turned out to be the last year of what I have started calling the ‘Very Short American Century’, the brief hegemony that the USA possesses when the Soviet Union fell apart.
No one expected the Soviet collapse before it happened. Up until 1989-91, it was supposed that Gorbachev would modernise and strengthen the Soviet bloc in the same way that Deng Xiaoping had modernised and strengthened China. The Tiananmen crack-down in 1989 didn’t really change this view, but then the Leninist regimes of Eastern Europe started tumbling like ninepins, including even China’s ally Albania. At this point, the bulk of the West’s politicians and political thinkers suddenly got emboldened. They concluded that the world was just about to ‘normalise’, become a mass of dependent nations looking to them for guidance.
They could have been right. China then was suffering an intellectual malaise and a lack of faith in a corrupt government. I completely misread Tiananmen protest, as I will detail in another article: yet I did notice one thing that every analyst seems to have ignored, both then and later. I noticed that the protestors had mixed motives and that some of them looked back to Mao as a superior past. That was quite different from most of Eastern Europe, which were Leninist because the Red Army had conquered them during World War Two. Only Czechoslovakia might have opted for Communism independently, while Yugoslavia had had its own revolution. The rest was imposed, while Czechoslovakia was alienated in 1968 and Yugoslavia failed disastrously.
My core idea is very simple – that the Chinese Communists were the only effective Westernising force in China. And that within Chinese Communism, Mao was vastly the most effective Westerniser – had much the deepest insight into Western values of any other Chinese I am aware of, regardless of whether the person in question was capable of turning their insights into useful politics.
Superficially Western politics flourished in the period of the Blue Republic, the system that existed from 1911 to 1949. They were a higher variant of the ‘Cargo Cults’ that emerged on various South Pacific islands when the enormous power of the USA intruded on them during the war against Japan. The islanders saw vast wealth arriving for these strangers, so they duplicated as much as they understood of the process. They built surprisingly accurate replicas of airfields complete with wooden aeroplanes, in the hope of attracting fresh arrivals with ‘cargo’ for their benefit. The superficial Westerners of China’s Blue Republic were rather more sophisticated and sometimes managed to follow Western advice quite faithfully, yet they were no more successful.
Outsiders misread China. Up to 1949, when China was presumed to be trying to become like the West, things were always just about to get better, no matter how bad they had been in the past. When China became a People’s Republic and a Cold War foe, things were always just about to go wrong, or had already gone wrong.
(I’m also old enough to remember the same thing from the USA’s failed war in Vietnam. Each year you’d get a slightly new version of the same story: while things had been bad in the past, new policies were now succeeding. This carried on up until the ignominious flight from the roof of the US Embassy, leaving behind most of those who had trusted the USA.)
No one can sensibly consider China’s various attempts to modernise without first understanding what the West was and was not. Without realising that the West’s rise was nothing like a spontaneous outburst of freedom. Europe was a set of medium-sized states which each ran a highly controlled society, but societies which also had traditions of legitimate protest and of debate over key ideas.
This used to be the common understanding. From 1990s, almost all studies of China accept the basic Neo-Liberal view, which is a big step down from Keynesianism. Policies of ‘let things drift’ allowed the centre-right to abandon its social values without admitting it. Without losing the votes of most of the authentic conservatives, who were persuaded that tax-and-spend was to blame.
The West in the 18th and 19th centuries blundered into becoming an industrial society, without a clear understanding and with many false notions – though also with a broad commitment to ‘improvement’ and a belief that the past could be improved on. Adam Smith had a plausible picture, but it greatly exaggerated the merits of trade and the profit motive, while failing to realise that market forces were changing the society in unpredictable ways. Marx and Engels produced the least inaccurate description that anyone has so far managed of this highly complex process: an understanding that greatly improved the effectiveness of those who followed it. The rise of Leninism was due to Leninism possessing a superior understanding, at least for as long as the dominant powers remained similar to the world Lenin had been dealing with. Its later fall within European culture came from people trying to make it a theology and learning the wrong lessons from the imperfections of Soviet history.
In China, there was simply no alternative ideology that was in any way relevant. The Kuomintang only became a sort-of government of China after they absorbed a lot of Leninism – but they ended the process much too early. They are sometimes called fascist, with good reason if you view fascism as an inexplicable outbreak of evil, but that’s not the view I accept. Fascism in Europe was highly effective, though I profoundly dislike most of what it was attempting to do and feel regret for the loss of various interesting alternatives in Italy and Germany and Spain. But the attempt by Chiang Kai-shek’s Kuomintang to copy fascism was rather ridiculous, another case of ‘wooden aeroplanes’.
In post-Mao China, the faction headed by Deng thought they could use the West to build the Chinese economy, without compromising Chinese sovereignty. On this basis they extended the normalisation of relations, way beyond anything Mao had intended. They got a huge amount of tolerance and concessions from the USA, because it was obvious that China didn’t have to change. And the post-Mao leadership were hugely impressed by what turned out to be the tail-end of Global Keynesianism. They did boost China’s rate of growth, though this had already been fast. They also absorbed some New Right foolishness, meaning that they needlessly retreated from universal free education and health care, and also allowed a lot of exploitation of migrant labour and a lot of avoidable inequality.
China in the 1970s did not need to ‘open up’. I emphasis this because most Western commentators talk as if China needed to be rescued from some slough of despond. It was said in former Soviet Union that you ‘never knew what’s going to happen yesterday’: that the past kept getting re-interpreted. But that happens everywhere. More crudely if a single authority controls the media, but it still happens in the West.
China before Mao and the People’s Republic was a lovely place for mediocre Britons aspiring to live like the British gentry. Likewise for other Westerners, most living well above the level they could have aspired to where they were born. If the plight of the natives did not bother you – or if you were blandly confident that they would be even worst off without you – it was a very pleasant spot to have.
There were also a host of missionaries, most committed to rooting out Chinese culture and few willing to treat Chinese as equals, but the missionaries did genuinely try to help. And there were a small number who actually did help and who discovered things that the Chinese themselves had almost forgotten, but unfortunately not many.
Mao was resented because he made China strong, and because he took what he wanted from Western culture and ignored the rest. China’s rulers and China’s intellectuals forgot this for a time, but more recently they seem to be remembering.
Gwydion M. Williams
Appendix One : Where am I coming from?
No man is an island, though some of us are peninsulas. Anyone confident that they take an objective or detached view simply does not known their own biases. They mistake their own culture’s specifics for universals. Myself, I am sufficiently free of my background to be aware that I would still seem very much part of that background to an outsider. So I will briefly say who I am and what were the social forces that shaped me.
I was born in 1950, the youngest of three children of Raymond Williams, noted socialist thinker and author of Culture and Society and The Long Revolution, cultural studies that remain influential. My father was born on the borders of Wales, the son of a railway worker. The Welsh have always prized education, so my father got a lot of help and encouragement from his community when he showed early signs of academic excellence. In the 1930s he was inclined to pacifism, but the rise of Nazi Germany convinced him that this would not work. As a student at Cambridge University he joined the Communist Party, but then went against party policy by volunteering for the British Army during the period after the Fall of France and before the Nazi attack on the Soviet Union. He served as an officer in the Anti-Tank Regiment of the Guards Armoured Division, 1941–1945, being sent into the early fighting in the Invasion of Normandy after the Normandy Landings (D-Day). He was thereafter an independent socialist thinker, but sympathetic to China. He had been an early reader of Red Star Over China in its Left Book Club edition, though he never actually said much about China, being expert in other areas of knowledge.[BB]
As a teenager in the 1960s, I was one of many who saw the Cultural Revolution in China as something very much akin to the radicalism of young people in the West. I’ve never entirely lost that view, and have nothing but contempt for those 1960s radicals who switched over to an admiration of the vast immediate power of the New Right in the West. Even at the height of their power, I saw the New Right as ignorant bunglers who had succeeded by appealing to the worst side of human nature – something that they’d be paying a price for later on. I also never had much enthusiasm for the Soviet Union as it then existed: definitely not after the 1968 invasion of Czechoslovakia. I also never saw them as likely long-term winners after that, unlike many right up to the mid-1980s.
I lost confidence in Maoism after the ridiculous behaviour by Late Maoism over Lin Biao, who first just vanished and then was denounced as a traitor. I was also seeing what I had rejected before – that there was plenty of scope for reform in the West, since it had become a semi-socialist system after World War Two and that this could be extended with Workers Control. It was at that time a very real possibility as a way of containing and making effective the working-class militancy of the era. I had joined a small organisation of Irish origin, the British and Irish Communist Organisation (B&ICO), which decided that most current leftist policies were futile well in advance of the massive power-political collapse of the left in the 1980s. Workers Control would have given the working class a big say in the management of commerce, while also forcing them to take a wider view of their responsibilities.
Sadly, most of the British left in the 1970s was caught up in a fantasy of Leninist revolution, while also distancing themselves from the reality of Stalin’s system. The B&ICO line was and remains that this was absurd: Stalin saved the system from collapse and also produced the power and industrialisation necessary to defeat Nazi Germany. The British ruling class was largely responsible for the rise to power of Nazi Germany, hoping that it would destroy the Soviet Union. Mysteriously, they then picked a fight with their creation by giving Poland a blank cheque to refuse Hitler’s demands, even though these were quite modest, the return of the majority-German city of Danzig and an extra-territorial road across the Polish Corridor. This only makes sense on the basis of a vast under-estimation of German military potential.
The majority of the left in the 1960s and 1970s bad-mouthed their own successes and heroised ineffective leaders, most notably Trotsky after his break with the Leninist mainstream. Modelling yourself on failure is a great formula for further failure, and that was exactly what happened. There was nothing very smart or special about the New Right: they have not been able to constitute themselves as a new right-wing formula for life that might have lasted indefinitely, unlike Fascism. (It was also very foolish for liberal-left critics to try to identify this New Right with Fascism, when it was clearly very different.)
As I said on earlier pages, I undertook a systematic look at the roots of liberalism – real serious liberalism, the politics that Irish Nationalist leader Parnell correctly identified as heirs of Cromwell, the first and so far the only military dictator in British history. Liberals in their serious days were happy to accept the comparison, and Cromwellian heritage is still celebrated in Britain. ‘Ironside’ Liberalism counted for something. The modern ‘Softsword’ stuff does not: it believes that the same outcome could have been achieved without the harsh and repressive side, which is nonsense. The same muddle infects the Libertarians, who are similar to modern liberals but with the benevolent side removed. And unlike most 20th century liberals, they base themselves on the economic theories of Adam Smith.
Britain post-Thatcher could have got back to serious reform. Instead we had New Labour, an acceptance of Thatcherism as a fundamental truth that can only be modified in small ways. The massive crisis of the system that begun in 2008 has not shaken this belief. Possibly the rise of China will change this: it is in any case a good time to be studying the basis of modern China’s existence.
Gwydion M. Williams
Also available as a PDF, Problems 17-18 – China’s Maoist Foundations
Appendix Two: some more charts
Both these two and the chart on the front cover are based on figures from Angus Maddison’s: The World Economy: Historical Statistics. Data before 1950 is incomplete, probably because China then was not really a single coherent state.
For 1950-75, China was growing more slowly than the ‘economic miracles’ of France, Germany and Japan. But better than the USA and UK. And China was rising from a long period of stagnation or shrinkage, as well as being shut out of many global markets due to US hostility.
Note also that the period 1950-75 was an optimum for the West. The period 1975-2000, which includes the rise of Neo-Liberalism, shows a decline everywhere except the USA. And the worst decline in the former ‘economic miracles’.
China meantime has largely ignored Neo-Liberalism and moved from extreme collectivism to something that remains more collectivist than the Mixed Economy systems the West and Japan had in 1950-1975.
Here you see year on year growth in Mao’s time and afterwards. The errors of the Great Leap Forward came after several years of major success, and a number of bold policies had succeeded. Actual c
ollectivisation had gone smoothly: what went wrong was an over-hasty attempt to move to a much higher level of collective management. The other bad years are the start of the Cultural Revolution and the big earthquake in 1976.
You could see it as a single successful system getting better at avoiding errors, while staying dynamic.
Here you see year on year growth in Mao’s time and afterwards. The errors of the Great Leap Forward came after several years of major success, and a number of bold policies had succeeded. Actual collectivisation had gone smoothly: what went wrong was an over-hasty attempt to move to a much higher level of collective management. The other bad years are the start of the Cultural Revolution and the big earthquake in 1976.
You could see it as a single successful system getting better at avoiding errors, while staying dynamic.
The entire developing world has seen a reduction in infant mortality. But China has done unusually well for its income level, overtaking the Philippines, where the overall living standard was much higher in 1980. The chart was drawn by me using UN data.[CC]
The improvement has continued, with China still ahead of the rest. One of many tokens that it remains socialist.
This article first appeared in the magazine Problems, Number 17-18, First Quarter, 2014
[A] Maddison, Angus: The World Economy: Historical Statistics, OECD 2003. Data for China before 1950 is incomplete.
[B] [http://data.un.org/Data.aspx?d=PopDiv&f=variableID%3A65#PopDiv] as at August 2011.
[C] [http://www.time.com/time/magazine/article/0,9171,808241,00.html]
[D] Juan Chang and Jon Halliday, Mao, the Unknown Story, Jonathan Cape 2005, page 337.
[E] Williams, Gwydion M. Wealth Without Nations, pages 76 and 74. The quotes from Adam Smith come from The Wealth Of Nations, Book II, Chapter III, section 1
[F] Ibid.
[G] Try an Amazon Books search on ‘Darwin’s Finches’ to get some idea. But that particular search misses many: for instance Jonathan Weiner’s The Beak Of The Finch: Story of Evolution in Our Time, which is one I’d recommend
[H] Wealth Without Nations, pages 106-7
[I] [http://www.prospectmagazine.co.uk/2011/08/a-good-crisis-gone-to-waste/?]
[J] Smedley, Agnes. Battle Hymn of China.
[K] Zhu Bajie is the standard Chinese name of the magic creature known as Pigsy in English translations of the Buddhist fantasy known as Monkey or Journey to the West. The Duke of Zhou was an historic figure whom Confucius often cited as an ideal ruler.
[L] Freedom in Exile: the autobiography of His Holiness the Dalai Lama of Tibet. Hodder & Stoughton 1990. Pages 96-97.
[M] For instance he saw the central government’s road-building program as a nice improvement. He fails to realise even with hindsight that this permanently undermined the separateness of Western Tibet.
[N] Kissinger, Henry. On China, Allen Lane 2011. Page 101
[O] Ibid., page 107
[P] Ibid., pages 91-3
[Q] Ibid., page 120.
[R] The birth-rate in 1950 in the UK was actually rather low: the big post-war rise in the birth rate was over by then. But socially and politically we were part of it, a wave of enthusiastic young people in a new world.
[S] On-line at [http://en.wikisource.org/wiki/Ten_Days_That_Shook_the_World/Chapter_IV]. Chapter IV: The Fall of the Provisional Government
[T] See for instance Peacemakers Six Months That Changed the World: The Paris Peace Conference of 1919 and Its Attempt to End War by Margaret MacMillan. It gives an excellent account of everything that was wrong with the Versailles Peace Conference, but then insists that those people did the best possible and were unfairly blamed.
[U] Heinlein, Robert E. The Puppet Masters, Chapter XXIX. First published in late 1951.
[V] Fenby, Jonathan. Generalissimo: Chiang Kai-shek and the China He Lost. Free Press edition of 2005, page 499
[W] Taylor, Jay. The Generalissimo: Chiang Kai-shek and the Struggle for Modern China [Paperback] Page 465
[X] It also appeared under the title Coming war between Russia and China.
[Y] [http://news.google.com/newspapers?nid=1300&dat=19700126&id=fdtUAAAAIBAJ&sjid=zJADAAAAIBAJ&pg=6397,4688384]
[Z] Currently the Socialist Party (Socialistische Partij), but originally the Communist Party of the Netherlands/Marxist-Leninist. This party has an English-language website at [http://international.sp.nl/]
[AA] [http://www.sscnet.ucla.edu/southasia/History/British/jsmill.html]
[BB] You can find an excellent account of my father’s early life in Dai Smith’s Raymond Williams: a Warrior’s Tale.
[CC] All sorts of figures are available at a UN website, [http://data.un.org/Default.aspx]. I got these figured by first entering “Infant Mortality”, then selecting “Infant Mortality Rate” and finally using filters for the country and 5-year period. Data from before 1950 was not available: it was almost certainly much higher.





I referred to this piece in one of my blog articles: https://gmachine1729.com/2018/07/01/%E7%A5%9D%E5%85%9A%E7%9A%84%E7%94%9F%E6%97%A5%E5%BF%AB%E4%B9%90%EF%BC%81/.
It’s in Chinese, but I quoted an excerpt from here in English, namely:
“Not that I am any sort of unreconstructed Maoist: I also approve of Deng Xiaoping, including his willingness to be harsh when necessary. Both Mao and Deng played a big part in producing today’s China, but in a future article I will argue that it was Deng who came closest to wrecking it. Contrary to what most analysts will tell you, Mao always had a fall-back position that he could return to if one of his radical experiments went wrong.”
I’ve felt the same. I am eagerly awaiting that “future article.” If you’re curious what my take is on this, I can just tell you directly. By the way, did you know that in China, I’ve seen some pretty smart, knowledgeable people express a relatively low opinion of Deng. For example, this tech startup entrepreneur I talked with spoke of Deng, who he says he does not like much, as verbally dull. He could not write, and he also could not talk. That guy, who was working in the space program in Beijing during that time, also blamed Zhao Ziyang for Tiananmen, for encouraging those naive, manipulable students to be unreasonably uncompromising such that eventually there was no choice but to suppress the whole thing by force. These people also feel Mao >> Deng, and that Deng came closest to wrecking China. When I brought up what I had read and heard on the contrary, one of them, after explaining briefly, said, “very often, truth belongs to a small minority.” However, this implies that those who can see the truth cannot garner the political support necessary to rise to a position of decision-making power, and like it or not, society tends to be more might makes right than reason. Ideally, those with reason have also might, but often, it is quite the opposite. From what I see talking with people and surfing the Chinese internet, there is still a sizable contingent of highly intelligent and competent red conservatives in China with some political influence, though of course, that ethos China had during the Mao era is largely gone now.
LikeLike